송도 자이더스타 1순위 일반모집이 끝났다.
16일이 2순위 청약일이지만 기회는 없을듯하다.
모집공고일 : 2021년 11월 5일(금요일)
청약기간 : 2021년 11월 15일(월요일)~16일(화요일)
청약 당첨자 발표 : 2021년 11월 22일(월요일)
송도 자이더스타 분양 및 분양가
송도 자이더스타 이렇게 입지가 좋았나? 라는 생각이 든다. 별처럼 빛나는 입지. 송도 자이더스타가 올해 분양을 위해 모델하우스까지 짓고 준비중이다. 2021년 9월에 분양예정인 송도 자이더스
timd.tistory.com
1순위 경쟁률 결과는 청약홈에서 확인 가능하다.
생각보다 낮게 나왔다.
청약홈 | APT분양정보
청약예정 또는 과거 5년 이내(‘18.2월 이후) 공급주택의 분양정보와 경쟁률을 확인하실 수 있습니다.
www.applyhome.co.kr



국평 경쟁률이 제일 낮은
3대1, 4대1 수준이다.
기존의 수십, 수백대의 1의 경쟁률을 봤던 분들에게는 낯선숫자이다.
그만큼 낮은 경쟁률. 예상외의 숫자.
이정도면 당첨될 수도 있지 않을까하는 희망?
충분히 가능한 경쟁률이다.
경쟁률이 낮은 이유는 무엇일까?
요즘은 대부분 20%이긴 하나 예전에는 10% 또는 5%였을 때도 있었다. 최소의 금액으로 중도금 1회차 대출 전후로 피만 받고 팔았던 시절. 그시절은 이제 오지 않는다. 분양가 9억이면 2억정도의 현금을 바로 마련해야 한다.
마이너스 통장 한도도 줄어들고 금리까지 올라가니 2억의 현금은 진입장벽이 되어버렸다.
중도금 대출이 가능하다 아니다 말이 많으나 사업자 보증으로 중도금은 가능할 것 같은데
중도금은 30~35%수준이라고 한다.
보통은 중도금 3회이상 연체 시 계약해지 조건에 해당한다.(계약서 확인 필요)
건설사 보증으로 중도금 하려다가 못받아서 연체되는 경우 계약해지까지 통보받았으나 소송가서 이겼다는 판례도 있다고 하나 지금은 현금이 없는 분들, 영끌조차도 어렵다면 리스크가 크다.
현금부자들에게는 기회.
중도금 대출 여부에 따라 경쟁률이 낮아지는 것은 당연한 현상이다. 같은 입지, 같은 분양가여도 중도금이 나오지 않는 다면 몇배의 경쟁률 차이가 난다.
중요한건 총 청약통장의 갯수이다. 최근 서울 청량리에서 분양한 아파트에서도 같은 34평임에도 타입에 따라 분양가가 9억이 넘기도 하고 안넘기도 하여 중도금 대출 여부가 달라졌다. 결과적으로 중도금 대출이 나오면 15대 1, 중도금 대출이 안나오면 4대1이 되었다.
입지만 보면 송도자이 더스타보다 좋은 아크베이가 더 저렴한 분양가로 출전을 앞두고 있다. 뷰는 자이더스타가 더 좋겠지만 위치는 아크베이가 좋고 저렴하므로 아크베이쪽으로 많이 몰렸을 가능성이 크다. 영화도 블록버스터는 시차조절해서 개봉하는데 자이더스타랑 아크베이는 제대로 붙었고 자이더스타 경쟁률만 보면 아크베이가 더 흥행에 성공할 것으로 보인다.
송도 아크베이 단지분석(분양가 및 장단점)
"송도의 상징 아크베이 회오리룩" 아크베이 후분양 시그널이 있긴 하지만 아무래도 리스크 관리 차원에서 분양할 가능성이 높고 21년 말/22년 초로 예상되는 아크베이 분석해보자. 분양받을 이유
timd.tistory.com
요즘 거래가 없다. 신고가는 가끔 나오는데 호가대로 매수하던 그때의 느낌이 아니다. 대한민국 부동산 시장 전체가 그렇고 대출규제의 영향과 그동안 가파르게 오른 피로도 때문으로 보인다.
대출문제도 그렇고 시장분위기도 그렇고 무주택자분들이 꽤나 망설였을 시기다.
오히려 지금이 기회라고 하는데 경쟁률 보면 기회는 기회다.
크리스탈오션자이가 7.5억이었는데 자이더스타는 9억이므로 예전 기억에 비싸다는 생각이 들었을 것으로 보인다.
크리스탈 오션자이도 옵션장난질로 실질적으로는 8억이상 9억가까이되었는데
송도자이 더스타도 거의 10억이다.
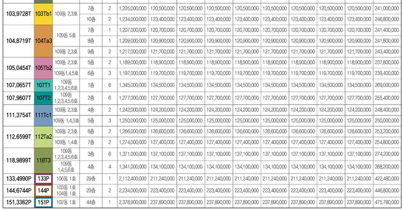
- 84기준 최고 분양가 9억5540만원
- 확장비 3328만원
- 에어컨 풀옵션 963만원
마스터뷰나 힐스레이크 등 주변 구축들 대부분 10억넘고 11억, 12이상 하니
구축고 비교하면 신축으로서 저렴하긴 한거 같다.
분양가 정보



조감도 상으로는 바다쪽 공원이 이상하긴 하나 실제로는 멋진 친수공간이 될 것으로 보인다.
이런저런 사유로 당첨자들이 계약하지 않고 나온 물량을 계약하는게 줍줍이라고 한다.
계약하지 않은 이유는 대부분 저층이거나 예상했던 대출이나 자금계획에 문제가 생겼을 경우다.

정당계약인 12월 20일 이후 수많은 예비당첨자를 거쳐서 몇개가 나올 가능성도 있다.
참고로 줍줍은 21년 5월부터 아무나 못하도록 법이 개정되었다.
해당지역에 거주하는 무주택성인에게만 가능하다.
| 11공구 GS건설 분양부지 경관(심의통과) (0) | 2022.04.08 |
|---|---|
| 송도 아크베이 청약 1순위 결과, 통장 2만개 접수 (0) | 2022.01.05 |
| 송도 아크베이 후분양 시그널 (0) | 2021.07.27 |
| 송도 아크베이 단지분석(분양가 및 장단점) (0) | 2021.07.27 |
| 송도 자이더스타 분양 및 분양가 (0) | 2021.07.07 |